⠵⠑⠝⠚⠊(@zenjigame)さんの人気ツイート(いいね順)

1
แจก writing template ในการเขียนเปเปอร์เป็นอิ้งครับ เรียงให้ตามใจความที่อยากสื่อ
2
พูดถึงเรื่องเขียนเปเปอร์ มีทริคในการเขียนมาแชร์ครับ สมัยเรียนป.ตรี ที่ได้คะแนนเปเปอร์ดีเพราะใช้หลัก 4 cons ได้แก่ 1) concise 2) concrete 3) convince 4) contribute
3
ใครกำลังจะเขียน study plan ขอทุนไปเรียนต่อ กำลังเรียนป.โท ป.เอก ทำวิทยานิพนธ์ เชิญเลยครับ บทความที่ผมเขียนเป็นการบอกเล่าเก้าสิบการเขียนโครงร่างวิจัยเพื่อใช้ในการเรียนและเรียนต่อ หวังว่าจะเป็นประโยชนนะครับ minimore.com/b/b5Kvx/4
4
มีโอกาสได้สอนการเขียน essay คิดว่าส่วนหนึ่งของสไลด์ที่สอนน่าจะเป็นประโยชน์ต่อคนที่ต้องเขียนงานส่งเป็นประจำ เลยแชร์ให้ครับ เป็นสไลด์สรุปโครงร่างการเขียน ข้อคำนึงในการสร้างหัวเรื่อง protocal ในการ lit review และตัวอย่าง template ใช้จัดการเนื้อหาที่ได้จากการ lit review ครับ
5
#มีappมาเสนอ ใคร suffer กับเปเปอร์หรือธีสิส ผมแนะนำ LiquidText ครับ app นี้เหมาะสำหรับคนที่ต้องอ่านนส.หลายเล่ม แล้วอยาก cite ข้อมูลเก็บไว้โดยมีตัว mark หน้า mark เล่มให้เลย อยากทำ chart สรุปข้อมูลที่ได้จากนส.แต่ละเล่ม หรืออยากสร้าง framework จาก lit review มีครบในแอปนี้เลยครับ
6
ว่าด้วยเรื่อง such as ... ได้ตรวจงานเขียนแล้วพบว่า วลีใช้ยกตย. ส่วนมากที่ชอบใช้กันคือ such as กับ for example จริงๆ มีให้เลือกใช้อีกหลายตัวเลย ได้แก่ ..including: ..but not limit to: ..some of which are: ..which include: ..for instance: .. ー x, y and z to name a few.
7
#มีappมาเสนอ ใครหา app อ่านชีทหรือนส. แล้วอยากโน้ตย่อสิ่งต่างๆ ที่อ่านมาไว้ด้วยอยู่ ผมขอเสนอ flexcil ครับ ส่วนตัวคือดีมากๆ มีไฮไลท์ (ปรับค.เข้ม ขนาด สี ได้) มีหัวปากกาใช้จุดหลายแบบ ในแอปฝัง note มาให้ด้วยครับ คืออ่านไป มีสมุดโน้ตอีกหน้าให้เรา copy / paste text หรือรูปมาใส่ได้เลย
8
เจองานวิจัยตอนปี 4 ตอนนั้นอ.บอกอยากทำอะไร ทำเลย ปีสุดท้ายแล้ว เลยตัดสินใจลงสนามไปวิจัยเรื่องการขายบริการทางเพศของผู้ชายกับเพื่อน ๆ (5 ปีที่แล้ว มุมมองจากคนขายยังมีไม่เยอะ) คืออยากรู้มุมมองคนเหล่านี้ต่อสิ่งที่เขาทำบ้าง จำได้ว่าต้องไปกันตอน 5 ทุ่ม - ตี 1 อ.เป็นคนขับรถให้ สนุกมาก
9
ทำ slide สอนนิสิตปี 4 ทำไปทำมาคิดว่ามีประโยชน์กับคนที่ต้องใช้ SPSS อยู่ เลยเอามาแบ่งปันครับ chart นี้เป็น chart แสดงค่าสถิติเมื่อต้องการทดสอบประเด็นต่างๆ ในงานวิจัยสายสังคม ปกติก็ดูกันว่ามีนัยยะสำคัญไหม ไม่ก็ดูระดับความเข้มข้นและทิศทางของค.สัมพันธ์ระหว่างตัวแปร ขนมาให้หมดละครับ
10
ถอย room diffuser กลิ่นใหม่มา กลิ่น “lost in library” เป็นกลิ่นไวน์จางๆ ส่วนผสมเป็นพวก grape aroma คนขายบอกช่วยทำให้มีสมาธิ เหมาะกับการอ่านนส.ช่วงก่อนนอน เลยซื้อมาลอง ใช้มาจะอาทิตย์ รู้สึกดีจริง กลิ่นจางๆ สูดได้เรื่อยๆ ไม่แสบจมูก ของ organika มีบู๊ทอยู่ชั้น 1 พารากอนเผื่อใครสน
11
รุ่นน้องบ่นให้ฟังว่าเวลาอ่านนส. โดยเฉพาะที่ที่เจอคนรู้จัก) จะชอบโดยคนชม (หรือแซว) ว่า “ขยันจัง อ่านนส.” รุ่นน้องบอกว่าจริงๆ อ่านเพราะชอบอ่านเหมือนเป็นงานอดิเรกแบบนึง พอโดนชมก็ถูกมองว่าเป็นคนขยันเลยหงุดหงิดเพราะมันมีค.คาดหวังจากคนอื่นเวลาเป็นคนขยัน แต่จริงๆ ตัวเองไม่ใช่แบบนั้น
12
อยู่กทม.มา 10 กว่าปี หลายครั้งเลย รู้สึกว่าเวลาออกจากห้องทีคือ 1. ต้องออกไปที่ไกลๆ หน่อย ถ้าออกไปใกล้ๆ รู้สึกไม่คุ้ม 2. ถ้าออกต้องออกทั้งวัน ออกไปแค่ 2-3 ชม. ไม่ได้ รู้สึกเสียเวลา ออกสายกลับเย็น ออกบ่ายกลับค่ำๆ ดึกๆ มี 2 โมเดลหลักๆ 3. ไม่มีฟีลแบบอยากออกไปเรื่อยเปื่อย ออกขำๆ
13
ให้ article นร.ไปอ่าน มีคำว่า they ตามด้วย is อยู่ นร.ท้วงว่าพิมพ์ผิด เราก็บอกว่าถูกแล้ว They เป็นสรรพนามบุรุษที่ 3 เอกพจน์ได้ เป็นคำกลางๆ เพื่อไม่ระบุชื่อหรือเพศของคนที่กล่าวถึง นร.ก็ถามว่าเพิ่งมีเหรอ ก็บอกไปว่า มีใช้มา 5-6 ร้อยปีละ เผื่อใครไม่รู้ เราใช้ they แบบนี้ได้นะครับ
14
ข่าวการถึงแก่อนิจกรรมของพลเอกเปรมเป็นข่าวที่นักรัฐศาสตร์ให้ความสนใจสูงมาก เนื่องจากตัวท่านถือเป็นผู้ทรงอิทธิพลทางโครงสร้างการเมืองคนหนึ่ง การถึงแก่อนิจกรรมครั้งนี้ทำให้โครงสร้างที่นิ่งมานานสั่นไหว การเปลี่ยนแปลงจะเกิดขนาดไหน เกิดทางไหน ส่งผลต่อการเมืองในอนาคตยังไง น่าสนใจมากครับ
15
(1) ว่าด้วยเรื่องการเขียน argumentative essay ปีนี้เจอคนที่มีปัญหากับการเขียน argumentative essay เยอะเหมือนกัน เลยจะมาแชร์ทริคในการเขียนแนวนี้ให้ครับ argumentative essay หลักๆ คือการหาเรื่องมา 1 เรื่อง (ซึ่งเรื่องนั้นควรประเด็นที่ controversy ประมานนึง คือ มีมุมมองได้หลายมุม)
16
เลือกตั้งละ มา 8.00 เป๊ะ เสร็จ 8.20 วุ่นวายนิดๆ แต่เร็วดี ใดๆ ไม่มีให้ปั๊มลายนิ้วมือ งงมาก บัตรมีแค่ให้กาคือเสี่ยงมาก เปลี่ยนกันได้โคตรง่าย ลายเซ็นก็ไม่ให้เขียนที่บัตรอะ เขียนที่เอกสารข้างนอกหมดเลย ง่ายๆคือบัตรไม่มีอะไรยืนยันว่าเป็นของเราได้เลยครับ
17
(1) วันนี้ตอนรอสอนพิเศษอยู่ มีรุ่นน้องร่วมอาชีพติวเตอร์นั่งอยู่โต๊ะถัดไป ตอนท้ายคาบน้องที่เรียนด้วยบอกว่า นี่เป็นคาบสุดท้ายที่จะได้เรียนแล้ว น้องคนสอนก็งงๆ น้องบอกว่าตังเก็บที่สะสมมาเรียนหมดแล้ว พอดีมีเรื่องต้องใช้ น้องติวเตอร์บอกว่า งั้นมาเรียนเถอะ มีมาคืนค่อยเอามาคืน
18
สืบเนื่องจากทวิตตัวเอง มีคนขอให้อธิบายว่า (จูนิ) เบียว จริงๆ หมายความว่าอะไร อะเรามาดูค.ตั้งต้นกันครับ จูนิเบียว【中二病】เป็นคำประชดใช้บรรยายลักษณะของคนที่มักคิดว่าตัวเองทำอะไรเท่ๆ คูลๆ แต่ในสายตาคนปกติคือ เป็นการกระทำที่ประหลาด ตรรกะเพี้ยนๆ ไม่ได้คูลเหมือนเจ้าตัวคิดครับ twitter.com/zenjigame/stat…
19
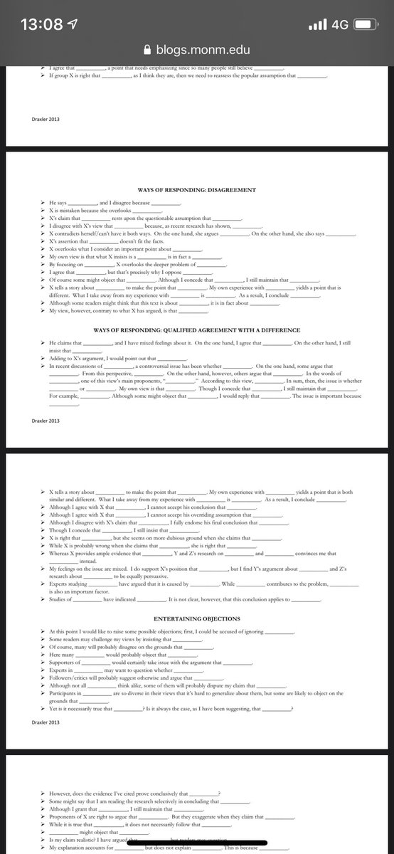
ใครอยากได้เป็นไฟล์โหลดได้ตามลิงก์นี้เลยครับ blogs.monm.edu/writingatmc/fi…
20
ว่าด้วยนส.แนว pop academics มันคือ นส.หมวด non-fiction มีเนื้อหาเข้มพอเป็นวิชาการได้ แต่ใช้การบรรยาย/เล่าเรื่องแบบสมัยนิยม ไม่ดีเทลทฤษฎี/ล้ำลึกขนาดขนบวิชาการจริงๆ ตัวอย่างเช่น นส. ซีรีส์พวก VSI หรือ Sapiens ที่หลายๆ คนรู้จักนั่นเองครับ (ตย.นส.อื่นๆ ตามได้ตามรูปแต่ละ thread ครับ)
21
มีคอร์สออนไลน์มาเสนอครับ เป็นคอร์สโดยภาควิชาภาษาศาสตร์ จุฬา คอร์สนี้มีที้งสิ้น 11 ตอน พูดถึงเรื่องการเปลี่ยนแปลงภาษา (Language Change) ตัวคอร์สจะพาทุกคนไปทำความเข้าใจการเปลี่ยนแปลงในทุกระดับเลยครับ ตั้งแต่เสียง คำ ไวยากรณ์ ใครสนใจลองดูคลิปแนะนำได้ครับ youtu.be/8IZFvhUXfnc
22
ใคร สนใจอ่านต่อ เรียนเชิญที่ minimore.com/b/ypar8/9 ครับ
23
เวลาอ่านงานวิชาการมากๆ นอกจากปัญหาเรื่องการเข้าใจนิยามศัพท์ต่างๆ แล้วอีกปัญหาหนึ่งที่มักเจอบ่อยคือการใช้วลีภาษาละตินในบทความอย่างในรูปเลยครับ วันนี้เลยจะเสนอวลีละตินในงานวิชาการเท่าที่ผมเจอให้ครับ 1) ในรูปเลยครับ prima facie (praɪmə feɪʃː) แปลว่า หากมองด้วยแวบแรก ครับ
24
คนเรียนญป. ชั้นกลางไปสูงที่เรียนคำญป. 和語 และคำจีน 漢語 มาแล้ว น่าจะมีโมเมนต์อยากใช้ 漢語 ในการเขียนงาน แต่นึกไม่ออกว่ามีคำอะไรบ้าง ผมมี web app มาเสนอครับ ทำโดยนิสิตเอกภาษาญี่ปุ่น คณะอักษรศาสตร์ จุฬา ส่วนตัวคิดว่าไอเดียดีมากๆ ขอบคุณคนทำไว้ก่อนเลย 55 dict-52c9a.web.app
25
ว่าด้วยเรื่อง toxic masculinity (1) คนนำคำนี้มาใช้ตามสื่อเยอะขึ้นเรื่อยๆ จำนวนหนึ่งเข้าใจว่าคำนี้พูดถึงผู้ชายที่มีพฤติกรรมหรือทัศนคติที่เป็นพิษเมื่ออยู่ด้วย ที่จริงแล้ว โดยเฉพาะในวงวิชาการคำนี้อ้างถึง สภาพที่บรรทัดฐานทางสังคมเกี่ยวกับเพศชายได้ทำร้ายผู้ชาย รวมถึงคนอื่นๆ ในสังคม