滋賀大学等がYouTubeに無料公開しているデータサイエンスのコース。機械学習などが平易に解説されている。 youtube.com/channel/UCC366…
東大が無料公開している統計解析の講義(全13回) ocwx.ocw.u-tokyo.ac.jp/course_11408/ 理論だけでなくRによる実装も学べる ・Rの基本的な使い方 ・行列とその演算 ・記述統計量 ・データ可視化 ・単変量確率分布 ・多変量確率分布 ・重回帰分析,最小二乗法 ・主成分分析 ・判別分析 ・時系列解析 ・クラスター分析
東大計数工学科が無料公開しているAWS講義ノート 「コードで学ぶAWS入門」 tomomano.github.io/learn-aws-by-c… ・大作だがAWS初心者でもわかるよう平易に書かれている ・クラウド上で機械学習を行うチュートリアルとしても使える ・6つのハンズオンでDocker入門、ハイパラサーチ、Webアプリのデプロイまで学べる
統計数理研究所が無料公開している統計学入門の講義動画 youtube.com/channel/UCjfiN… 統数研の講義紹介ページ ism.ac.jp/lectures/leadi…
ハーバード大学のコンピューターサイエンス入門コースは日本語版が無料公開されている cs50.jp ・講義動画は日本語字幕付き ・講義ノートも日本語訳あり Week0. イントロ Week1. C言語 Week2. 配列 Week3. アルゴリズム Week4. メモリ Week5. データ構造 Week6. Python Week7. SQL… twitter.com/i/web/status/1…
「解像度を高める」とはどういうことか、丁寧に解説しているスライド。課題解決に携わる人にとって参考になりそう。 speakerdeck.com/tumada/jie-xia…
限界独身男性の最終形態
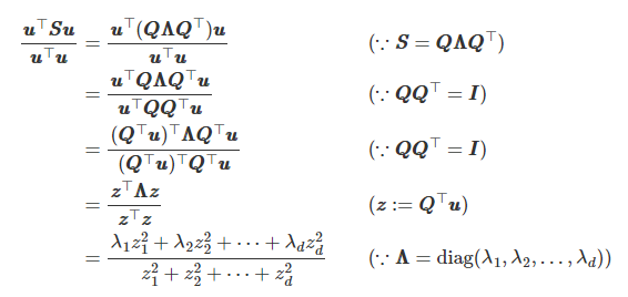
確率・統計をわかりやすく解説した、200ページ超えの長編スライド。 図解や具体例をふんだんに盛り込んだ直感的説明が秀逸。 数学カフェ 確率・統計・機械学習回 「速習 確率・統計」 slideshare.net/matsukenbook/r…
ChatGPTに投げるプロンプトの書き方が基本のキからまとまっている。 New Era of Computing - ChatGPT がもたらした新時代 speakerdeck.com/dahatake/new-e…
九州大が無料公開しているデータサイエンス概論の講義資料。厳密さを犠牲にしつつも直感的に嚙み砕いて説明してくれている mdsc.kyushu-u.ac.jp/lectures
京大が無料公開している生物統計学の講義動画(全10回)。効果検証についても学べる。ランダム化、仮説検定とP値の誤解、生存時間解析、回帰モデルと傾向スコアなど。 聴講コース 臨床研究者のための生物統計学 ocw.kyoto-u.ac.jp/course/328/
【統計学を無料で学べる教材4選】 1. 統計数理研究所の講義動画 youtube.com/channel/UCjfiN… 2. 数学カフェ「速習 確率・統計」 slideshare.net/matsukenbook/r… 3. データ分析のための統計学入門 第4版 pdf kunitomo-lab.sakura.ne.jp/2021-3-3Open(S… 4. 京大の講義動画「大学生のための統計学入門」 ocw.kyoto-u.ac.jp/course/809/
論文の読み方・書き方がわかりやすくまとまっているガイダンス資料。 2020.06.01 M1勉強会 論文の読み方・書き方・研究室の過ごし方 speakerdeck.com/sei88888/2020-…
スキルアップAI社のPython入門講座が期間限定で無料になっている。申込は2022/12/25、動画視聴は2022/12/31まで。講義資料pdfとNotebookをDL可 機械学習のためのPython入門講座 skillupai.com/python_jdla/ Python基礎文法 numpy, pandas, matplotlib, seaborn データ前処理 機械学習モデルの構築と評価
強化学習をゼロから学べる決定版スライド。 全159ページと盛りだくさんの内容だが、非常に基本的なことから丁寧に説明されている。 強化学習の基礎と深層強化学習 slideshare.net/ShotaImai3/rls…
「なぜ深層学習でうまくいくのか」という素朴な疑問に対し、理論的にわかっていることを平易に解説したスライド。めちゃめちゃわかりやすい。 深層学習の原理を明らかにする理論の試み drive.google.com/file/d/1bNN6Vj…
東工大が無料公開しているモダンな開発ツール/手法の講義(全14回)。Git/GitHubについてもわかりやすく解説されている。 システム開発プロジェクト応用第一youtube.com/playlist?list=… 情報収集 GDBによるデバッグ Git バグトラッキング GitHub & PR 単体テスト CI デプロイと冪等性 コミュニケーション
東工大が公開している「Python早見帳」 chokkan.github.io/python/index.h… コンパクトにまとまっているだけでなく、初心者がハマりやすい落とし穴にも言及されており、クオリティが高い。 Notebook一式はこちら github.com/chokkan/python
東大が無料公開している機械学習(理論)の講義動画(全12回) ocw.u-tokyo.ac.jp/course_11418/ 機械学習手法の定式化、パラメータ推定の理論について数式ベースでゴリゴリ学べる。 Ⅰ.教師あり学習  1.最小二乗法  2.過学習と正則化  3.交差検証  4.正則化付き経験リスク最小化  5.カーネル法… twitter.com/i/web/status/1…
ソニーがYouTubeに無料公開しているディープラーニングの入門コース。作り込まれたスライドで丁寧に説明してくれる。5分-15分くらいの講義なので隙間時間に無理なく見れるのも良い。 youtube.com/playlist?list=…
ソニーがYouTubeに無料公開しているディープラーニングの入門コース(全14回)。作り込まれたスライドで丁寧に説明してくれる。各回5分-15分くらいの講義なのでスキマ時間に無理なく見れるのも良い。 Deep Learning入門 youtube.com/playlist?list=…
東大が無料公開しているPythonプログラミング入門のページ。全くの初心者向けに丁寧に解説されている。 Pythonプログラミング入門 utokyo-ipp.github.io/index.html ・Google Colab, Jupyter Notebookの使い方 ・Pythonの基本的な文法とデータ構造 ・numpy, pandas, matplotlib, scikit-learnの使い方入門
Pandas公式チートシートの日本語版 github.com/Gedevan-Aleksi…
東工大が無料公開している機械学習の講義資料 chokkan.github.io/mlnote/index.h… 数学の復習、理論の解説、Pythonコード、実行結果のグラフやアニメーションがまとまっている。 Google Colab起動ボタンですぐ動かせるほか、Jupyter Notebook形式でダウンロード可能。
「たった1日で基本が身に付く! Python超入門」 という書籍の内容が無料公開されている (400ページ近い長編スライド) speakerdeck.com/yuichi110/1ri-… 基本的なことは網羅されており、図解多めで見やすい。最後はおまけとして、プログラミング上達のヒントも。