ろじ(@logicalplz)さんの人気ツイート(新しい順)

1
東スポが「山上容疑者の背後に反アベ団体」とかいう記事を出している。 東京スポーツの取締役会長は太刀川恒夫で、立川恒夫は児玉誉士夫の秘書だった経歴を持っており、児玉誉士夫は勝共連合(統一教会関連団体)の結成に関与し原理運動(統一教会の布教活動)への支援をしていたことで知られている。
2
統一教会信者への特商法・薬事法違反による刑事摘発(2007 年以降)
3
4
統一教会関連でメディアに名前の出てくる国会議員→稲田朋美、山谷えり子、荻生田光一、佐藤正久、中川雅治など。
5
2015年は安保法制改定がなされた年。 国際勝共連合から支援を受けた大学生集団UNITEが出現。安倍政権支持を訴える。
6
2015年、それまで叶わなかった世界平和統一家庭連合への名称変更を文化庁が認証。当時の文科大臣は安倍の盟友、下村博文。
7
2006年5月、内閣官房長官だった安倍晋三らが天宙平和連合の大会に祝電。
8
保岡興治法務大臣(当時)→秘書が合同結婚式に参加した人物 高村正彦法務大臣(当時)→統一教会の訴訟代理人だった。議員になってからも霊感商法の中心企業から乗用車を提供されていた。 小野清子国家公安委員長(当時)→統一教会の別働隊の機関紙に登場。
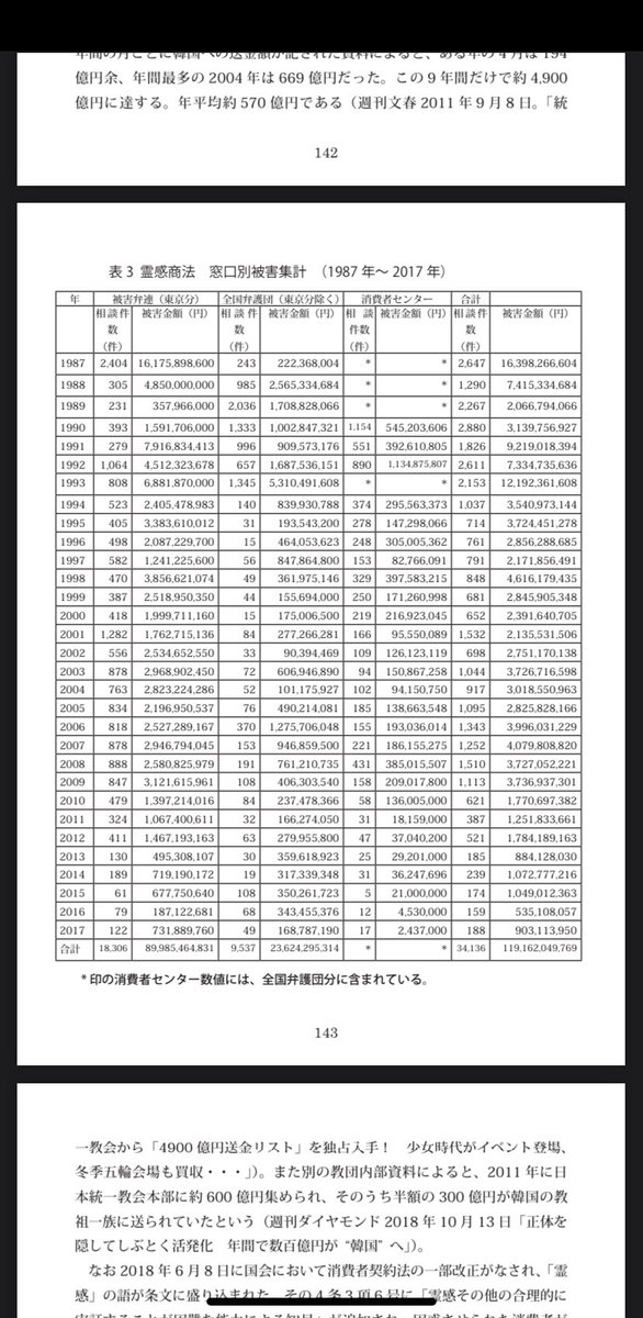
9
1987年〜2017年の統一教会の霊感商法の被害相談件数3万4136件、被害金額総計1191億6204万9769円(弁護士連絡会、消費者センター集計)。 これでもほんの一部、と。 「日本における統一教会の活動とその問題点 ―活字メディアで報道された批判を中心に―」 藤田庄市 rirc.or.jp/20th/Rirc20th_…
10
すげーなこいつ。 大阪の悲惨な現状が報道されたら不安を煽るなと意味不明な難癖をつけてBPOに意見申入れをするのか。 自分たちに都合の悪い事実が少しでも大衆の目に晒されるのに耐えられないんだろう。 不気味なほどの幼稚さだ。 致命的な現実逃避だ。 twitter.com/yokoyama_hide/…
11
すげーなこいつ。 死人の数をこねくり回して自分たちに都合の良い解釈を弾き出し、恥ずかしげもなく見せびらかしてる。 死者数をすら保身のための道具にし、メディア叩きを始め矛先を逸らそうとする維新府議。 恥を知れよ。 twitter.com/yokoyama_hide/…
12
大阪で42人の死者が発表された後に大阪市長が最初にしたツイートがこれか。 正気とは思えん。 twitter.com/gogoichiro/sta…
13
職員は懲戒処分で、自分は開き直りつつ反省を装ってお終い。 これが成立している大阪、不気味だな。独裁国家のようだ。
14
温泉むすめプロジェクト、11月30日に日本政府から表彰されるらしい。 mext.go.jp/sports/b_menu/…
15
文通費について「だって仕事していないんだからもらうのはおかしいじゃない」と憤る松井一郎さん、安定の公務日程なし。
16
GHQ草案には入っておらず日本人研究者の提案によって憲法に入れ込むことに成功した「すべて国民は、健康で文化的な最低限度の生活を営む権利を有する」という生存権を保障した25条。 公布後70年以上経って自宅で餓死する親子がいる。民間が子ども食堂をやっている。 改憲を叫ぶ前にすべきことがある。
17
山本太郎が麻生太郎を「万死に値する人間」と批判したことが騒がれているけど、麻生太郎も鳩山由紀夫を「万死に値する」と批判していたんだぞ。 kanaloco.jp/news/governmen…
18
税金や保険料を困窮者から容赦なく取り立てながら、「まずは自助」と高みから言い放ち、自己責任論を蔓延させ、希望のないまま死んでいく人を量産する。 残酷な国だよ。ほんとに。 介護保険料払えず差し押さえの高齢者、初の2万人超 負担増も背景か(朝日新聞デジタル) news.yahoo.co.jp/articles/a10c7…
19
コロナ禍のどさくさに紛れてアベノマスクに国費260億円を注入して、そのうち30億円が謎のプレハブ小屋の会社に流れて、一般大衆にはこれ。しかも対象は人口の2割未満。 金の使い方がことごとくおかしい。 自公、現金5万円の早期給付で一致 | 2021/11/9 - 共同通信 nordot.app/83065415204172…
20
「投票所数の削減や投票所の時間短縮は経費削減も目的とみられる。」 民主主義に必要なコストを削減しながら、無意味なアベノマスクに260億円、さらに保管費に月7500万円。 アホの国か。 [衆院選2021]投票所の中には午後4時終了も…3分の1が閉鎖時刻繰り上げ yomiuri.co.jp/election/shugi…
21
「94年に改正された公選法は、国政選挙でも記号式を採用しました。ですが、自民党議員が「有権者に名前を書いてもらうことが、政党や政治家の財産だ」などと主張し、95年に自書式へと戻されたのです」 改めて丸印だけで済む記号式にするべきだわ。 kobe-np.co.jp/news/sougou/20…
22
八代英輝も自衛隊幹部学校の講師。 他には、櫻井よしこ、竹田恒泰、門田隆将などが講師。異常だよこの人選。 mod.go.jp/msdf/navcol/in… mod.go.jp/asdf/meguro/r2…
23
同性愛の子は自殺率が6倍高いという話が出ると笑い声をあげ、散々差別を撒き散らかして満足気な杉田水脈に「頑張ってください」と激励の言葉をかける人間、それがすぎやまこういち。 まさかオリンピックで曲使わないよな。
24
たまには収支報告書でもと思って覗いてみたら、平井卓也デジタル改革担当大臣、政治資金を活用してグルメレビューやってた。 user.retty.me/1129710/ openpolitics.or.jp/pdf/370101/201… openpolitics.or.jp/search/search-…
25
総理大臣も含めて国家の中枢にいる人間がネトウヨというのが当たり前の国になって久しいけど、やっぱこういうのが大臣やってんの異常だわ。 twitter.com/hiratakuchan/s…