虚構新聞アーカイブス(@KyokoArchives)さんの人気ツイート(新しい順)

西暦、2千年後に2倍見通し 元号との成長格差、浮き彫りに kyoko-np.net/2018092701.html
ギリシャ・クレタ島でうその世界大会 優勝は主催団体 kyoko-np.net/2018072401.html
幻の「フライエビ」全身化石見つかる 名古屋 kyoko-np.net/2017042101.html
恵方巻きリサイクル法案、今国会に提出へ 「エコ巻き」普及目指す kyoko-np.net/2019020301.html
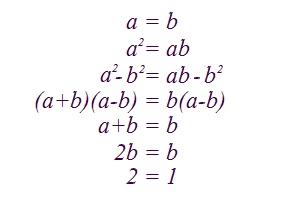
「2と1は等しい」 数学界で論議 kyoko-np.net/2008090501.html
街頭インタビュー、全面シルエット化へ プライバシー配慮 kyoko-np.net/2016122101.html
「地球が何回回った時?」も即答 日本製AI、電脳口論で優勝 kyoko-np.net/2019031401.html
受刑者の処遇、疑似的に改善 仮想独房「VR房」を開発 kyoko-np.net/2019051701.html
食塩から塩味分離した「無塩塩」開発 千葉電波大 kyoko-np.net/2019090901.html
10倍成人式、出席者ゼロ 主催者「誠に残念」 滋賀・西近江村 kyoko-np.net/2020011301.html
「1粒で7草分」根拠なし 春の七草錠に措置命令 kyoko-np.net/2018010701.html
バウムクーヘンの天日干しが最盛期 長野 kyoko-np.net/2005021501.html
インフル悲鳴「もう限界」 コロナ禍で活動激減 kyoko-np.net/2020121001.html
「時間内に配り切れず」 海にプレゼント捨てた契約サンタを逮捕 kyoko-np.net/2017122501.html
世界一明るい聖夜目指す 「ヤシマツリー作戦」発表 kyoko-np.net/2017121201.html
クリスマス向け わら人形作り最盛期 山形 kyoko-np.net/2015111201.html
リニア新幹線、静岡飛び越す「滑空ルート」 専門家が提案 kyoko-np.net/2020082101.html
「サンタの正体教えないで」保護者にプリント配布 マキャベリ小 kyoko-np.net/2018121401.html
「運命自ら切り開く」 占いランキングも戦う時代へ kyoko-np.net/2016022301.html
ダイヤモンドから炭の生成に成功 千葉電波大 kyoko-np.net/2011082601.html
漢 字 「 傘 」 な ど 使 用 自 粛 要 請 を 検 討  社 会 的 距 離 確 保 で き ず kyoko-np.net/2020041001.html
山手線、日暮里エクスプレス開業へ 来年3月から kyoko-np.net/2013081301.html
新駅「っ」開業 駅名最短、129年ぶり更新 滋賀・竹生島鉄道 kyoko-np.net/2020061801.html
究極の初心者向け「2マス将棋」発売 愛好家考案 kyoko-np.net/2021061401.html
通信障害でも安心 「紙製ツイッター」配布始まる kyoko-np.net/2017090801.html