浅田飴【公式】(@seki_koe_nodo)さんの人気ツイート(古い順)

1
しっかり手洗いを!ということで、アズールレーンさんにお声掛けさせて頂き、ご協力させていただきました。>前RT いろいろなイベントなども中止になり悲しい毎日ですが、まずは皆さまの健康が第一。不要不急の外出を控え、感染対策を! #手を洗おう #アズールレーン azurlane.jp/asadaame_sp/
2
何故浅田飴wwwというご質問ですが、「アズレンスルホン酸ナトリウム」という成分を含むうがい薬やのどスプレーがある、というだけです...そして鯖落ち、大変失礼いたしました... アズレンスタッフの皆さま、大変な状況の中、本当にありがとうございました!! #アズールレーン #アズレン
3
コラボいただきましたル・マラン様、ようやくお迎えできました!(ぜぇぜぇ) #アズールレーン #アズレン
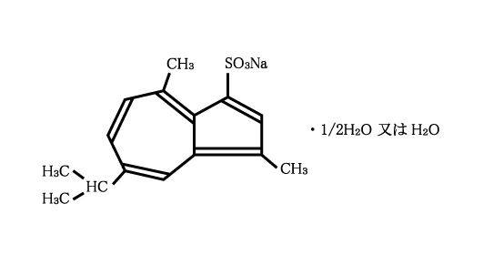
4
お問合せがたくさん来ておりますが、浅田飴AZうがい薬(第3類医薬品)はアズレンスルホン酸ナトリウムを配合しており、「ポビドンヨード」は配合しておりません。 詳細はwebサイトをご覧ください。 asadaame.co.jp/medicine/az_ug…
5
また「浅田飴のどクールスプレー」(第3類医薬品)はポビドンヨードを含みますが、効能効果は「のどの炎症によるのどのあれ・のどの痛み・のどのはれ・のどの不快感・声がれ」です。 販売にも許可が必要です。転売品などにはくれぐれもご注意ください。 asadaame.co.jp/medicine/nodoc…
6
落ち着いてきましたので補足ですが、一般用医薬品は「効能効果」の欄に記載された事項のみ、効果が認められています。 それ以外の目的では使用できませんし、使用方法も「用法・用量」に記載されたもののみで、漫然と使用するものでもありません。(続)
7
購入の際には「使用上の注意」をよくお読み頂き、わからないことは薬剤師さん、登録販売者さん、メーカーなどにご相談いただき、適正な使用をお願い致します。
8
「アズレン」というダジャr....いえ、素晴らしいコラボをさせて頂きましたアズールレーンさま。 3周年記念番組で発表がございましたが、引き続き手洗いやうがい啓蒙のコラボ企画第2第が進行中ですのでお楽しみに! #アズールレーン #アズレン twitter.com/seki_koe_nodo/…
9 キャンペーン
映画「浅田家!」10月2日(金)公開を記念して、「浅田家!」オリジナルタオル(非売品)や小説「浅田家!」、原案写真集「浅田家」、浅田飴製品をセットで10名様にプレゼント ①@seki_koe_nodo をフォロー ②このツイートをRT 締切:10/6(火)13時まで 詳細は asadaame.co.jp/campaign/asada… #浅田家
10
案1)社内プレゼン資料を頑張ってつくる 案2)とりあえず応募してから考える #タイバニ2スポンサー募集 twitter.com/TIGERandBUNNY/…
11
「最優秀アジア映画賞」受賞、誠におめでとうございます!!!🎊🎉 #浅田家 twitter.com/asadake_movie/…
12
最多8ノミネートおめでとうございます! おひとりおひとりに(ノミネートされていない方の役柄もすべて)物語があって、全員主演賞です✨ #浅田家 #浅田家焼き増し twitter.com/asadake_movie/…
13
手洗いや手指の消毒、うがいの啓発でコラボさせていただきました「アズールレーン」さまとのキャンペーン第2弾、お待たせいたしました! twitter.com/seki_koe_nodo/…
14
「アズールレーン×浅田飴」コラボキャンペーン! 12/1より対象商品の購入で、手洗いやうがいに役立つエレガントな特製コラボグッズが当たります。 引き続き手洗いや手指消毒、うがいなど感染対策を心がけましょう✨ #手を洗おう #アズールレーン azurlane.jp/asadaame_sp/
15
前回のキャンペーンから約半年、コラボいただきましたル・マラン様の近況報告です。(ぜぇぜぇ) #アズールレーン #アズレン twitter.com/seki_koe_nodo/…
16
今回のコラボでたくさんお仕事して頂きまして、ありがとうございました。 浅田飴クッションでだらだらしてくださいませ... #アズールレーン #アズレン
17 キャンペーン
コラボキャンペーン開催中! @seki_koe_nodo をフォロー&RTでル・マラン役 #白石晴香 さんの直筆サイン色紙などを抽選で3名様に!締切12/7(月)13時 ▼応募要項 asadaame.co.jp/campaign/azule… ▼オリジナルグッズが当たる「アズールレーン×浅田飴」キャンペーン azurlane.jp/asadaame_sp/ #アズールレーン
18
キャンペーン賞品「ル・マランのエレガントな浅田飴クッション」のサンプルが届きましたー! #手を洗おう #アズールレーン azurlane.jp/asadaame_sp/
19
「アズールレーン×浅田飴」コラボキャンペーンの賞品、エレガントなうがいコップセットが届きました!! #アズレン #アズールレーン
20
手洗いに便利なハンドタオルと、ゲーム内のコラボ家具を再現した浅田飴クッションも。 使うのが勿体ないですね.... キャンペーンは1/15まで!ご応募お待ちしております😊 azurlane.jp/asadaame_sp/ #アズレン #アズールレーン
21
浅田飴糖衣のフラットポーチを制作中🍑 皆さんはどのカラー/デザインがお好みですか?(デザインはツリーをご参照ください。) 締切りは本日21時。皆さまからの投票お待ちしております!!🍎🍋🍑
22
もう公式マークとかどうでも良いです。(ください)
23
"浅田"のご縁でキャンペーンをご一緒させていただきました「浅田家!」が、第44回日本アカデミー賞8部門受賞!!! 誠におめでとうございます!!🎊📷✨🎉 twitter.com/asadake_movie/…
24
発送作業中です🚚 #アズールレーン