暇空茜(@himasoraakane)さんの人気ツイート(古い順)

626
Colaboの活動報告書は嘘だらけのデタラメでした【共産党と強いつながりがあるColabo代表仁藤夢乃さん】|暇な空白/Kiyoteru Mizuhara @Z4mibyc8FYL06mB #note note.com/hima_kuuhaku/n…
627
都議会議員の川松議員から自民党でColaboの件を調べてる議員の名前を聞きました、小平選出の磯山りょう議員だそうです。連絡をとってみてはいかがでしょうか? まじ?(コメント欄)
628
悲報 共産党と強いつながりがあるColabo代表仁藤夢乃さん「虐待」「被害」「警察」「保護」「児童養護」が漢字で書けない これだから学校教育受けなかった人間は・・・と高校中退した僕は思うのであった
629
共産党と強いつながりがあるColabo代表仁藤夢乃さんのバスカフェ実施報告書 これでえーっと年間2600万で34回だからこの報告書で76万もらえんのお!?!?!?!?
630
共産党と強いつながりがあるcolabo代表の仁藤夢乃さんが俺のことをデマだとか法的措置だとか叫んでくれたらめっちゃ盛り上がると思うんすよ! そろそろ出てきてくれないかな
631
日本に文句がそんなにおありなら出ていったら?問題、Twitterでも
632
これこれ
633
こいよゆめにゃん!訴訟でもレスバでも公開討論でも何でもいいぞ! twitter.com/eachtime1208/s…
634
タイヤに84万使ったと申請して使ってなかった場合もOKという話をしてらっしゃる? twitter.com/pig_1981/statu…
635
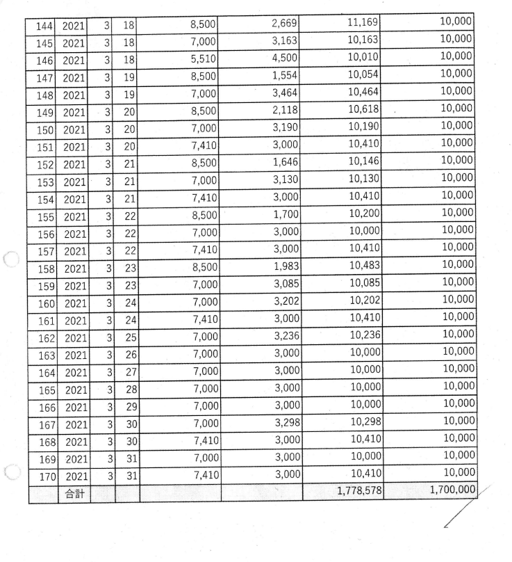
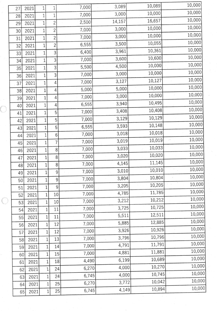
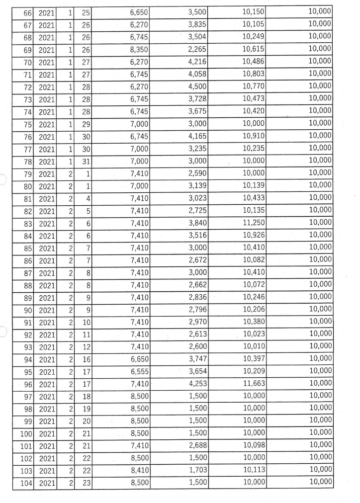
共産党と強いつながりがあるColabo代表仁藤夢乃さんのColabo令和2年報告書   合計88日170泊170万のホテル費に 「相談員費用として」で別に140万申請されてる なんじゃこりゃ? あと2500円のホテルとまったときにその他が必ず7500円ちょっとになるのわらう
636
ざっとみてて笑ったけど8500円のとき必ず1500円になってない?ジャスト1万の 笑うでしょこんなん つづき
637
これ←の”あの人”か 俺道歩いててこんなんいたら10円チャリーンって投げるわ
638
そもそも売春禁止法は管理売春者を摘発する目的で、業者に関しては男女の区別なく摘発されるんじゃねえの?
639
対ひろゆきにしたって対俺(俺は相手側だったらどうするかどう攻めるか想定する)にしたって下手くそすぎだよね。まともな作戦立てる人いないのかな
640
これは暇空茜というオリジナルキャラで、こふじさんに特注で描いていただいたイラストです twitter.com/SYK_is_RED/sta…
641
第3回はもっと酷くて ・総選挙のとき池内さんのビラマキみんなで手伝ったけどヤジ飛ばしてくる親父がキモー! ・自民党から今度知事に立候補するんだって!落ちてほしい!キモー! みたいな内容 twitter.com/3wbvc30atlivdd…
642
ホストという業態自体はいいとして、未成年へのカケ、本人の同意のないカケとかを全部即逮捕でやればガンガン減ると思う🥸
643
単純に、歌舞伎町で立ちんぼやる女の子はホストに数百万のカケを未成年とか年収50万とかなのに背負わされて稼ぐためにやってんだから、ホストのカケを既存の法律当てはめて潰すのが最適解だろ。まあ解決しようとしないのは、税金吸いたいだけだろうから、青識亜論みたいなもんか
644
このあと担当変わったんだよね 偶然って怖いな
645
訴えるときの証拠集めとかいってた🐙、ひっそりと凍結してた
646
youtu.be/S791VUOhANc?t=… 「Colaboの件はですね、今自民党のあるメンバーがデータ集めて資料あつめて調査して僕のところに定期的に報告しにきてるので」 @hideyosino ボス!あんた自民党まで動かしたのかよ!
647
あ、ちなみに「それで都議が動いた」とか俺の手柄だと誇るつもりは全くないんですが、「関係各所」は10個くらいお手紙だしてまして、その中に「自民党都議」も含まれてました。なので耳に入ってたんじゃないですか?ずっと前から。タイヤで急に動いたわけではないですよ
648
自民党都議のほうから「動いてる」と情報公開があったので言えたって話です。そういうのがないと「都議にも手紙送ってます」とかこっちで勝手に言ったら動き邪魔するかもしれんでしょ。だから言ってなかっただけです
649
で、自民党まで動いてるのに俺を襲撃なんかしたら大変なことになるだけでしょ 俺の住所氏名とか公安とかにおくってあるし(通報者の欄にかくとこあったから守って公安様!ってかいといた) だから安全度ほぼ100まであがったかな 「自民党が動いてる」と発表されたことで
650
中川卓(第二東京弁護士会) さん、あまりにも粘着質というか常軌を逸してる。相互ブロックの俺のツイートをチェックして数分前のハンター楽しみだなあの俺のツイートにこれツイートしてんの。まともな精神状態にあるとは思えない。どうして俺が好きな漫画の話をすることにまでケチつけてんの?キッショ