李老师不是你老师(@whyyoutouzhele)さんの人気ツイート(古い順)

876
这件事本来就不应该是我来做 本就应该是由那些影响力更大的且一直在接受投稿为人发声的博主来做。 我认为有学识,有影响力的博主应该在这件事里起到更大的作用,可以从各种方面来研究这个事件,开启明智,用自己的经验和学识去为大家带来更优质的内容和思考 而不是像快手抖音上的网红撕逼。
877
山东解封
878
浙江解封
879
安徽合肥发文 防控寸步不让
880
山东今晚开始,所有方舱隔离点将停止建设 此前曾有消息称,山东省拟230亿元建119个方舱医院
881
网友投稿称 青海解封
882
网友投稿 乌鲁木齐解封
883
请注意,我目前没有小号,也不使用邮箱接受投稿。 请认准我的拼音账号 @whyyoutouzhele (为什么你偷着乐 twitter.com/ThisIsWenhao/s…
884
有网友补充了关于微型基站的知识, 网友表示,微型基站主要是为5G服务,在定位方面代价较大,实际社会上拥有更多廉价定位的方式。 (篇幅较长,亦希望相关技术方面的朋友可以验证) twitter.com/whyyoutouzhele…
885
武汉大学过程汇总 12月4日晚 5点左右 武汉大学的部分学生聚集在行政楼,要求就返乡和恢复线下上课、考试等问题进行协商。 最后党政办、本科生院的领导和大约一百名左右的学生到教1楼详细协商,并在有公章的红头公告公布在官网之后,人群逐渐散去,事情圆满结束。
886
事件的起因在于,其他湖北高校陆续安排返乡,但是武大迟迟没有消息,校内还有阳性就想恢复线下教学,校内商铺不开、交通不便,也不打算解除封校状态和每日核酸。微博热搜tag“武大华科请重视学生诉求”被炸词条,学生们无路可走,只能使用这样的方式 视频:学生们聚集在一起,高喊过程公开,信息透明。
887
现场聚集了大约2000人 过程中学校多次尝试让一两个学生“代表”其他人,学生们对此非常反感并一直拒绝 并且几次学校想让经管院的同学单独出来到楼内面对面沟通,但没有被接受。 现场聚集的学生非常坚定,始终要求不被分化和集体沟通,并且要求现场出台文件
888
同一天发出来的两个采访不等于同一天接受的两个采访 我本以为常年接受新闻媒体采访的人是可以理解这件事的
889
有网友发现,航旅纵横上查到,成都和上海已经断航6天了
890
网友称,自己的OPPO手机更新新版本之后出现一些问题,境外软件闪退,VPN一直弹窗提示风险。
891
网友投稿 淘宝上关于油管和Netflix的分享账号店铺也在被关闭。
892
虽然昨晚各地纷纷发文解封,但是全国各地很多网友投稿称,早上起来发现自己还是要做核酸或查核酸
893
腾讯网易等多家厂商宣布明天旗下游戏将停服一天
894
网友投稿 昨晚,武汉某大学 因封校封楼,一名学生决定用绳索自降离开宿舍和学校,并成功降到楼下。 网友称,因为该名学生在学校逛了一圈发现无法离开校园,所以最后他又重新原路返回了寝室。
895
江苏无锡刚发红头文件,强调高风险区应划尽划,涉及风险点位要应封尽封
896
上海解封
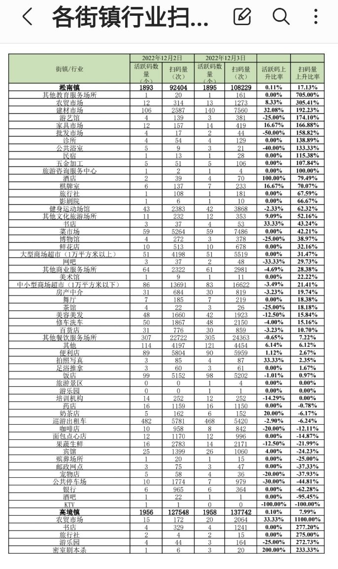
897
网友投稿 上海宝山区搞了个扫场所码统计评比,然后各街镇为了提高扫码率制定了任务指标,强制要求基层员工每人每天扫60个场所码。
898
随着今天,各地都发布了类似相同的解封公告 有人知道自己所在城市的医院状况怎么样吗?是否发生了医疗挤兑或者就医困难?
899
网友投稿 武汉工程大学 宿舍里被封铁门了
900
南京工业大学事件始末 12月5日晚,南京工业大学,由于封校期间发现阳性,学生集会表达不满,要求自愿返乡。 在现场学生们高喊回家。