らぐらん(@lagu_ran)さんの人気ツイート(新しい順)

1
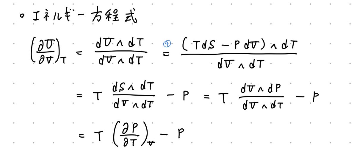
熱力学の計算を機械的にやりたいよねという... 数学的にはごめんなさい怪しいです
2
🌸東京大学理科三類に合格しました🌸 !!!!!!!!!!!!!!!!!!!!!!!!!!!!!!!!!!!!!!!!!!!! 今日まで僕を支えて下さった方、応援して下さった方に感謝申し上げます!!!!!!!!!!! 嬉しい!! #春から東大
3
令和4年度大学入試共通テスト自己採点 地理 91/100 国語 188/200(43-50-50-45) 英語R 100/100 英語L 100/100 数学1A 81/100 数学2B 100/100 物理 100/100 化学 100/100 Σ 860/900
4
来年以降の成人式、「18歳=共通テスト直前の受験生」まで対象になるのバグでは???
5
あんまり知られていないことなのかもしれませんが、Feynman物理学、英語版なら全部無料で読めます。 feynmanlectures.caltech.edu
6
第51回国際物理オリンピック(IPhO2021)金メダル🥇(世界10位)でした !!!!!!!!!!!!!!!!!!!!!!!!!!!!!!!!!!!!!!!!!!!!!!!!!!!!!!!!!!!!!!!!!!!!!!!!!!! 有終の美を飾ることが出来て本当に嬉しいです!!!!!!!!!!!!